Reproductive Freedom and Privacy Act (RFPA)

The complete text of the 2026 ballot initiative that threatens Idaho's pro-life laws.

2026 Idaho Ballot Initiative

Reproductive Freedom and Privacy Act

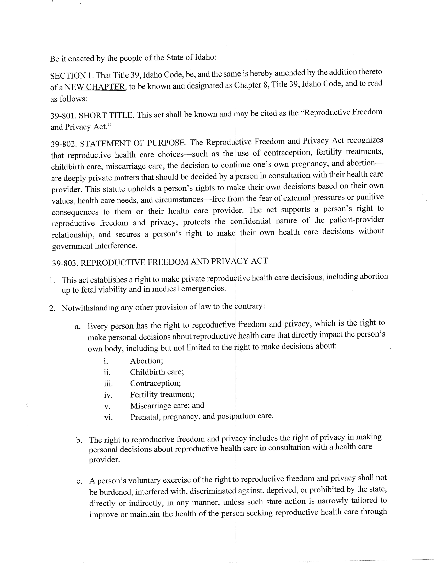
RFPA Document Page 1
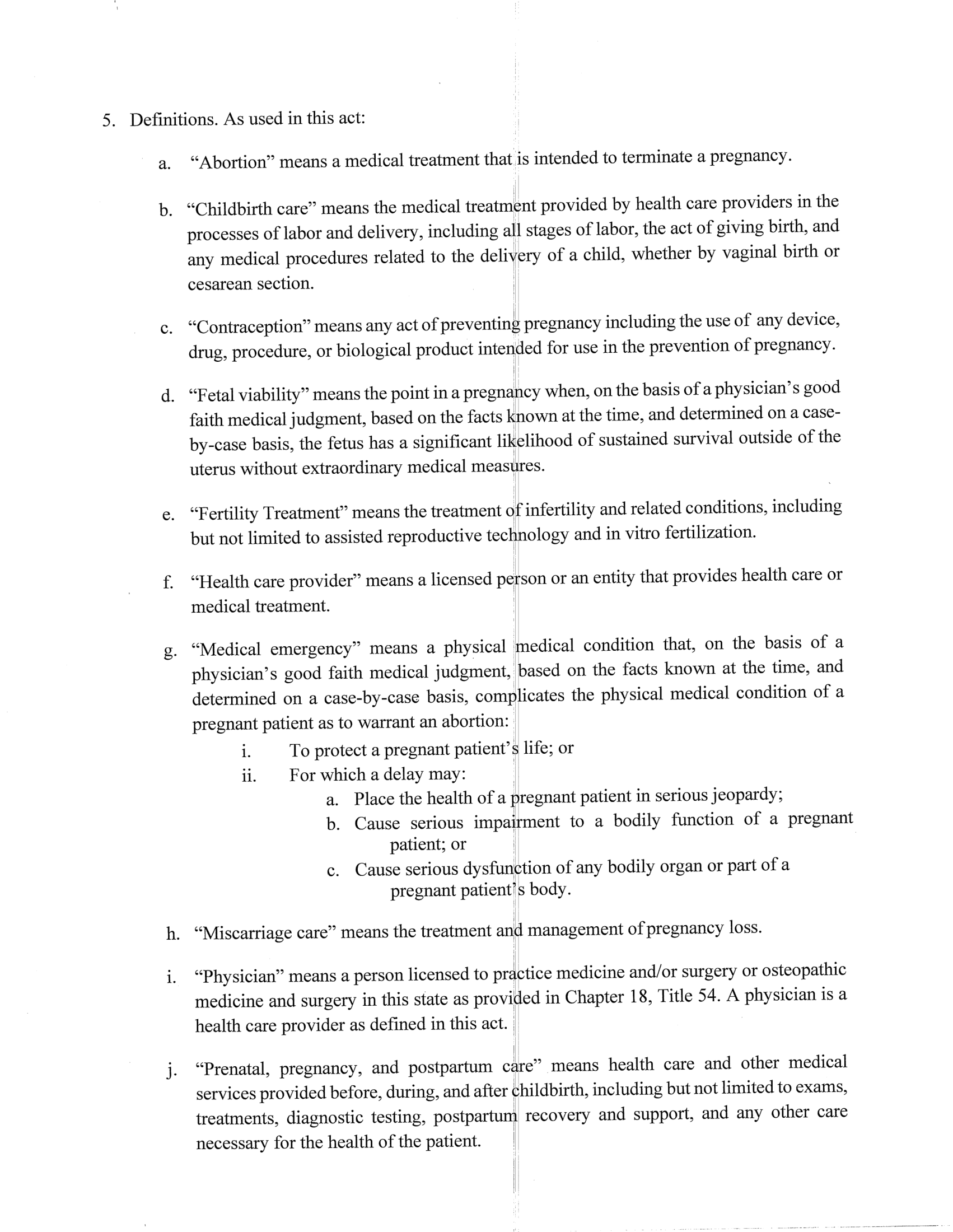
RFPA Document Page 2
RFPA Document Page 3
RFPA Document Page 4
RFPA Document Page 5
RFPA Document Page 6
RFPA Document Page 7
RFPA Document Page 8
RFPA Document Page 9